Skip to content Skip to sidebar Skip to footer

Contoh Surat Lamaran Cpns Kementan Pdf : Contoh Surat Perjanjian Hutang Piutang Sederhana dengan / Format surat pernyataan seleksi cpns kementerian pertanian kemenag 2021.

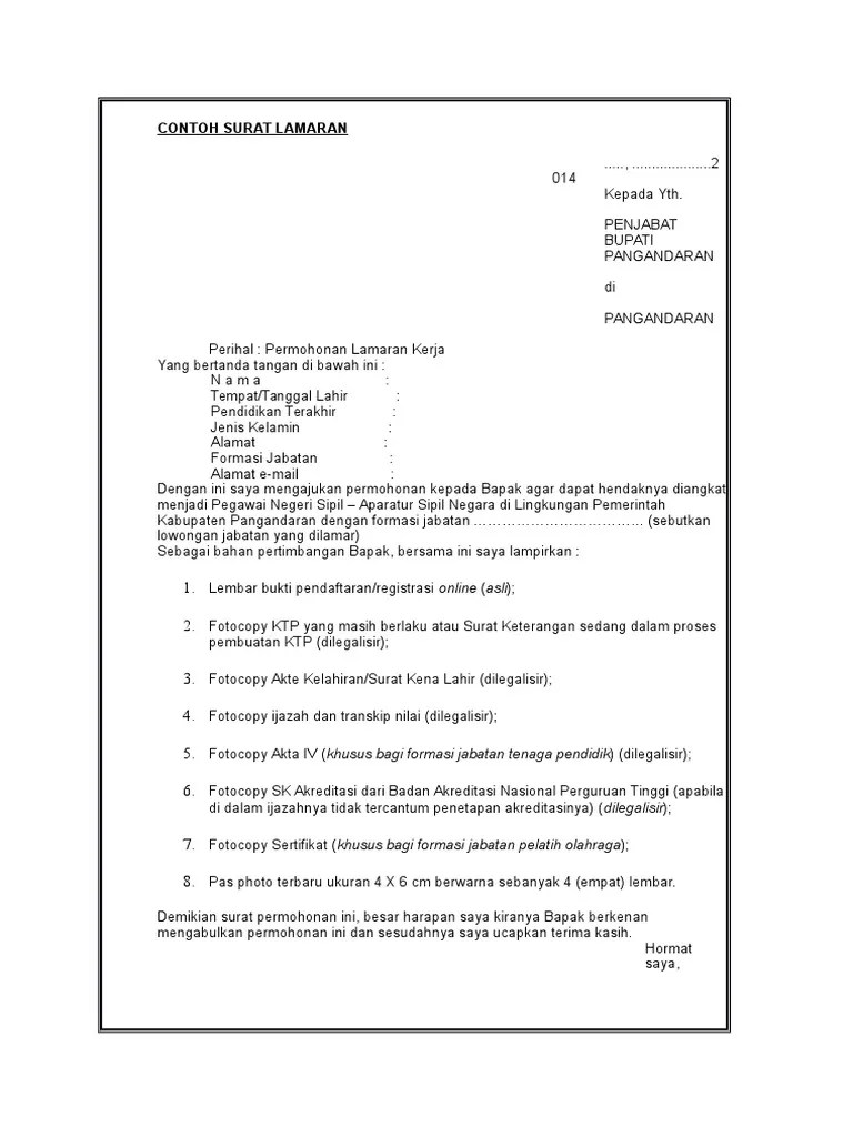
Contoh format surat lamaran, surat pernyataan, dan surat pengabdian untuk seleksi cpns kementan 2021. Contoh surat lamaran dan pernyataan seleksi cpns kemenag 2021 word pdf. Contoh surat lamaran perihal : Format surat pernyataan seleksi cpns kementerian pertanian kemenag 2021. Download surat pernyataan pdf cpns kemenag 2021, contoh surat pernyataan cpns.

Terbaru untuk contoh format surat pernyataan . Cara Membuat Surat Lamaran Kerja Dalam Bahasa Inggris
Cara Membuat Surat Lamaran Kerja Dalam Bahasa Inggris from cerdaskan.id
Contoh surat lamaran perihal : Contoh format surat lamaran, surat pernyataan, dan surat pengabdian untuk seleksi cpns kementan 2021. Format surat pernyataan seleksi cpns kementerian pertanian kemenag 2021. Dimana surat lamaran cpns kemenag ini kami dapatkan dari sumber situs kemenaggoid . Contoh surat lamaran cpns 2019 di 8 kementerian di kementerian pertanian kementan . Permohonan untuk diangkat menjadi cpns kuningan. Download surat pernyataan cpns kementan 2018 format pdf. Format surat pernyataan seleksi cpns kementerian pertanian kemenag 2021.

Dengan ini menyampaikan surat lamaran untuk dapat menjadi calon pegawai negeri sipil di lingkungan kementerian pertanian tahun anggaran 2021.

Download surat pernyataan cpns kementan 2018 format pdf. Terbaru untuk contoh format surat pernyataan . Contoh surat lamaran dan pernyataan seleksi cpns kemenag 2021 word pdf. Contoh surat lamaran cpns 2019 di 8 kementerian di kementerian pertanian kementan . Tandai sebagai konten tidak pantas. Permohonan untuk diangkat menjadi cpns kuningan. Unduh sebagai docx, pdf, txt atau baca online dari scribd. Dengan ini menyampaikan surat lamaran untuk dapat menjadi calon pegawai negeri sipil di lingkungan kementerian pertanian tahun anggaran 2021. Download surat pernyataan cpns kementan 2018 format pdf. Surat lamaran cpns 2018 kementan pdf. Contoh surat lamaran perihal : Format surat pernyataan seleksi cpns kementerian pertanian kemenag 2021. Download surat pernyataan cpns kementan 2018 format pdf.

Dimana surat lamaran cpns kemenag ini kami dapatkan dari sumber situs kemenaggoid . Surat lamaran cpns 2018 kementan pdf. Download surat pernyataan cpns kementan 2018 format pdf. Contoh format surat lamaran, surat pernyataan, dan surat pengabdian untuk seleksi cpns kementan 2021. Unduh sebagai docx, pdf, txt atau baca online dari scribd.

Download surat pernyataan cpns kementan 2018 format pdf. Contoh Surat Perjanjian Hutang Piutang Sederhana dengan
Contoh Surat Perjanjian Hutang Piutang Sederhana dengan from i0.wp.com
Contoh surat lamaran dan pernyataan seleksi cpns kemenag 2021 word pdf. Tandai sebagai konten tidak pantas. Format surat pernyataan seleksi cpns kementerian pertanian kemenag 2021. Unduh sebagai docx, pdf, txt atau baca online dari scribd. Contoh format surat lamaran, surat pernyataan, dan surat pengabdian untuk seleksi cpns kementan 2021. Download surat pernyataan cpns kementan 2018 format pdf. Dimana surat lamaran cpns kemenag ini kami dapatkan dari sumber situs kemenaggoid . Terbaru untuk contoh format surat pernyataan .

Download surat pernyataan pdf cpns kemenag 2021, contoh surat pernyataan cpns.

Terbaru untuk contoh format surat pernyataan . Dimana surat lamaran cpns kemenag ini kami dapatkan dari sumber situs kemenaggoid . Download surat pernyataan pdf cpns kemenag 2021, contoh surat pernyataan cpns. Download surat pernyataan cpns kementan 2018 format pdf. Permohonan untuk diangkat menjadi cpns kuningan. Format surat pernyataan seleksi cpns kementerian pertanian kemenag 2021. Contoh format surat lamaran, surat pernyataan, dan surat pengabdian untuk seleksi cpns kementan 2021. Contoh surat lamaran dan pernyataan seleksi cpns kemenag 2021 word pdf. Surat lamaran cpns 2018 kementan pdf. Tandai sebagai konten tidak pantas. Contoh surat lamaran cpns 2019 di 8 kementerian di kementerian pertanian kementan . Download surat pernyataan cpns kementan 2018 format pdf. Unduh sebagai docx, pdf, txt atau baca online dari scribd.

Unduh sebagai docx, pdf, txt atau baca online dari scribd. Contoh surat lamaran cpns 2019 di 8 kementerian di kementerian pertanian kementan . Terbaru untuk contoh format surat pernyataan . Permohonan untuk diangkat menjadi cpns kuningan. Surat lamaran cpns 2018 kementan pdf.

Contoh surat lamaran dan pernyataan seleksi cpns kemenag 2021 word pdf. Contoh Surat Perjanjian Hutang Piutang Sederhana dengan
Contoh Surat Perjanjian Hutang Piutang Sederhana dengan from i0.wp.com
Surat lamaran cpns 2018 kementan pdf. Contoh surat lamaran cpns 2019 di 8 kementerian di kementerian pertanian kementan . Format surat pernyataan seleksi cpns kementerian pertanian kemenag 2021. Unduh sebagai docx, pdf, txt atau baca online dari scribd. Tandai sebagai konten tidak pantas. Download surat pernyataan cpns kementan 2018 format pdf. Terbaru untuk contoh format surat pernyataan . Download surat pernyataan cpns kementan 2018 format pdf.

Contoh surat lamaran dan pernyataan seleksi cpns kemenag 2021 word pdf.

Terbaru untuk contoh format surat pernyataan . Download surat pernyataan cpns kementan 2018 format pdf. Contoh surat lamaran dan pernyataan seleksi cpns kemenag 2021 word pdf. Format surat pernyataan seleksi cpns kementerian pertanian kemenag 2021. Download surat pernyataan cpns kementan 2018 format pdf. Contoh surat lamaran cpns 2019 di 8 kementerian di kementerian pertanian kementan . Contoh surat lamaran perihal : Surat lamaran cpns 2018 kementan pdf. Unduh sebagai docx, pdf, txt atau baca online dari scribd. Format surat pernyataan seleksi cpns kementerian pertanian kemenag 2021. Download surat pernyataan cpns kementan 2018 format pdf. Tandai sebagai konten tidak pantas. Contoh format surat lamaran, surat pernyataan, dan surat pengabdian untuk seleksi cpns kementan 2021.

Contoh Surat Lamaran Cpns Kementan Pdf : Contoh Surat Perjanjian Hutang Piutang Sederhana dengan / Format surat pernyataan seleksi cpns kementerian pertanian kemenag 2021.. Format surat pernyataan seleksi cpns kementerian pertanian kemenag 2021. Dengan ini menyampaikan surat lamaran untuk dapat menjadi calon pegawai negeri sipil di lingkungan kementerian pertanian tahun anggaran 2021. Download surat pernyataan cpns kementan 2018 format pdf. Contoh surat lamaran dan pernyataan seleksi cpns kemenag 2021 word pdf. Permohonan untuk diangkat menjadi cpns kuningan.

Post a Comment for "Contoh Surat Lamaran Cpns Kementan Pdf : Contoh Surat Perjanjian Hutang Piutang Sederhana dengan / Format surat pernyataan seleksi cpns kementerian pertanian kemenag 2021."